1.The acceleration test signal is filtered with low-pass filter whose cut-off frequency is 10kHz, the highest response frequency of the acceleration sensor.
2.Extract the tangential acceleration signal at the symmetrical position of the gear separately. As shown in the gear acceleration test signal diagram, each acceleration test signal satisfies the requirements.

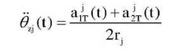
Where ax and ay are the lateral vibration accelerations of the gear in the X and Y directions respectively; theta-j is the angle of the gear; theta-zj is the angular acceleration in the torsional direction of the gear; G is the gravitational acceleration; and RJ is the radius of the circle in which the sensor is located.

Gear J torsional acceleration can be obtained by summing the formulas

