With the help of ANSYS / LS-DYNA, the finite element model of gear meshing pair is solved, and the gear stress nephogram is obtained, as shown in Figure 1.
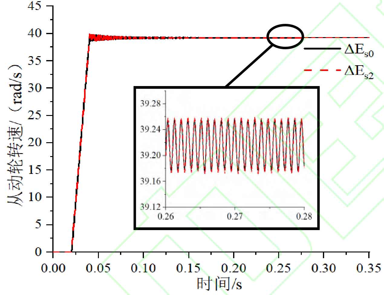
Through the stress nephogram of the big and small gears, it can be seen that the stress distribution on the tooth surface is uniform, there is no eccentric load, and the gear meshing is normal. The speed curve of the big gear corresponding to the two deviations is extracted, as shown in Figure 2.
It can be seen from the speed curve of the big gear that the speed of the big gear is stable after the load is stable, which is 39.22 rad / s, the theoretical calculation value is 39.29 rad / s, and the error is only 0.18%, which shows that the simulation result is reliable. At the same time, there is not much difference in the speed curve when there is no tooth thickness deviation and the tooth thickness deviation is △ ES2, but the speed fluctuation is slightly larger when the tooth thickness deviation is △ ES2.
The dynamic meshing force of gear pair is the main excitation of gear meshing system, and its wave curve can directly show the meshing vibration of gear pair. The dynamic meshing force of gear pair without tooth thickness deviation and deviation tooth thickness deviation △ ES2 is extracted as shown in Fig. 3.
It can be seen from the meshing force fluctuation curve that the dynamic meshing force fluctuation of gear pair increases and the vibration of gear pair increases due to the tooth thickness deviation. It is not difficult to understand that the existence of tooth thickness deviation has made the transmission error excitation increase significantly, which will inevitably lead to the increase of gear pair meshing vibration. In short, due to the existence of tooth thickness deviation, the single tooth meshing stiffness of the gear pair is reduced, the transmission error is increased, and the vibration of the gear pair is more severe.



