Figure 1 shows the influence curve of the pinion tooth width on the time-varying meshing force of the helical gear pair at different speeds. It can be seen from the figure that the tooth width of the pinion can only make the time-varying meshing force of the helical gear decrease with its increase under low speed working conditions (2000r/min), but has little effect on other working conditions.

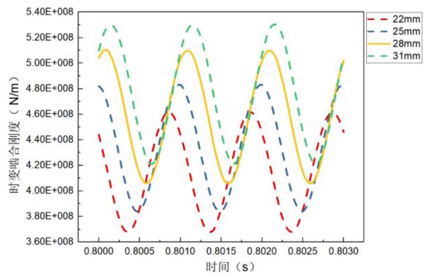
Figure 2 shows the influence curve of the pinion tooth width on the time-varying meshing stiffness of the helical gear pair. It can be found that the time-varying meshing stiffness increases with the increase of the pinion tooth width.

Figure 3 shows the influence curve of big gear tooth width on the time-varying meshing force of the helical gear pair at different speeds. Like the pinion, the big gear tooth width only affects the time-varying meshing force of the helical gear at low speed, and the time-varying meshing force decreases with the increase of the tooth width.

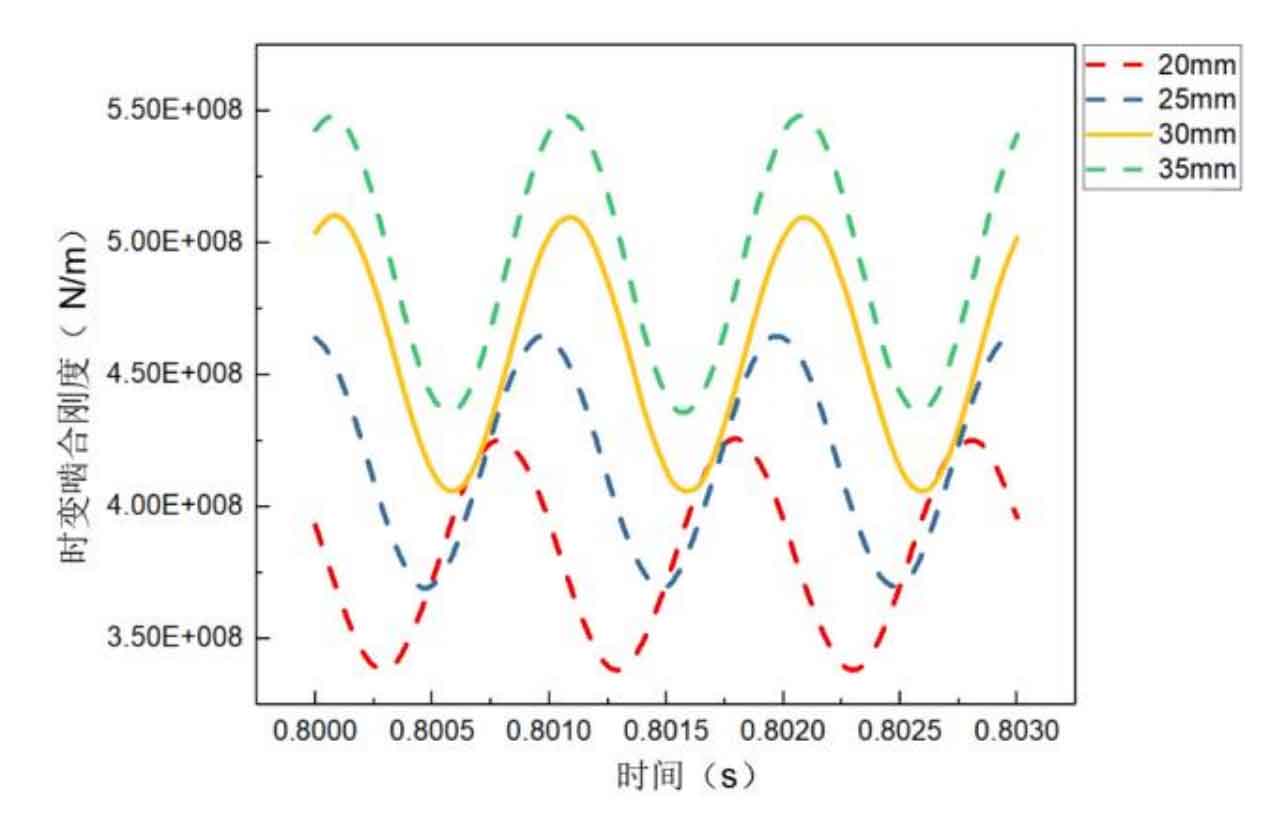
Figure 4 shows the influence curve of gear width on the time-varying meshing stiffness of the helical gear pair. Like the pinion, the larger the gear width, the greater the time-varying meshing stiffness.

In conclusion, the selection of helical gear tooth width is not absolute, because large tooth width increases the time-varying meshing stiffness while reducing the time-varying meshing force of the gear. In addition, because the tooth width of the helical gear has very limited influence on the time-varying meshing force of the helical gear pair at medium and high speeds, if the requirements for the use of the helical gear pair at low speeds are not strict, a smaller tooth width can be selected to obtain better vibration and noise performance of the helical gear pair at medium and high speeds.
