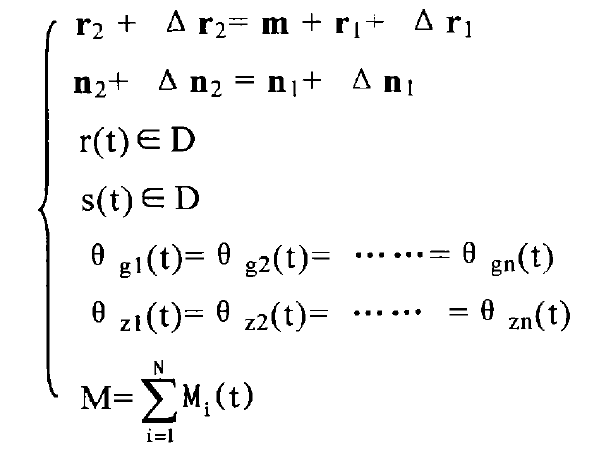
At a certain moment of gear transmission, the locally conjugate tooth profile engages and transmits load. When more than two pairs of tooth profiles mesh at the same time, in the process of power transmission, the total torque transmitted by the gear pair is shared by each tooth participating in the meshing. The sum of the moments acting on each tooth shall be equal to the total moment, i.e.:

Where:
M – total torque of gear pair transmission;
Mi (T) – the partial moment borne by the ith tooth participating in meshing.
To sum up, we have obtained a set of equations for solving the tooth contact analysis of gear pair under load:

From the equations, the pairs of gears meshing at the same time at a certain moment, the real contact area and the load distribution between meshing tooth pairs can be obtained.
