As shown in the figure, the machine tool coordinate system s (o-xyz) is established. The X axis and Z axis are parallel to the pitch line of gear hobbing hob and the rotation axis of gear blank respectively, and the Y axis is perpendicular to the pitch line of gear hobbing hob; The projection of the gear hob in the end face is a rack, which rotates ω B can realize the translation VB of the tool rack, the tool coordinate system sb (OB xbybzb) is fixedly connected with the tool inclined rack, and each axis is parallel to s (o-xyz) and coincides with it at the beginning; The workpiece coordinate system SC (OC xcyczc) is fixedly connected with the gear blank and rotates synchronously. The ZC axis coincides with the rotation axis of the gear blank. At the beginning, the XC axis is parallel to the Y axis and the YC axis is parallel to the X axis; The polar coordinate system is established with OC point as the pole and XC axis as the polar axis. The polar coordinate equation of elliptic gear pitch curve is r = R( θ)。θ,φ C and angular velocity of gear blank ω The metering direction of C is shown in the figure.
According to the principle of tool rack hobbing, the rack pitch and elliptical gear pitch curve make pure rolling without relative sliding, and they are tangent to T. the generating motion between gear hobbing hob and gear blank can produce involute, and the gear hobbing hob rotates ω B and gear blank rotation ω C. strict linkage relationship shall be maintained; the gear blank shall be subject to vy linkage along the Y axis to form a non-circular gear pitch curve. In order to cut full teeth, the gear hobbing hob shall have a vertical feed movement VZ along the Z axis, which is generally constant speed and does not need linkage.
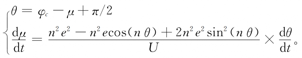
In the figure μ Is the included angle between the polar diameter and the tangent positive direction of the elliptic nodal curve. According to the calculus theory:
Substitute the formula into:
From Figure and formula:
From the formula:
Since pitch curve r = R( θ) It is a high-order ellipse, which is in development processing ω C relative to ω B changes nonlinearly. Set the polar angle of gear blank as θ There is a cylindrical equivalent spur gear with OC as the center of rotation and the distance r from OC to the tangent of the pitch curve as the radius of the indexing circle, its modulus Mn and pressure angle α N is the same as that of elliptical gear. If the equivalent number of teeth (instantaneous number of teeth on the end face of gear blank) is zv, then:
Where k is the number of gear hob heads.
And because:
Substitute the formula into:
The speed of gear blank along Y axis is:
The constant speed scheme of gear hobbing hob is adopted, i.e ω B constant, ω C and vy are linked, and the linkage control model is composed of formula deformation:
The formula shows that the high-order elliptical spur gear can be hobbed by four axis and three linkage, and the VZ constant speed feed does not need linkage.










