VMD is an adaptive signal analysis method, which can find the optimal solution of the variational model through multiple iterations, and then find out the center frequency of each decomposition component, which can automatically decompose the signal into sparse modal components.
VMD method is to introduce signal decomposition into variational model to obtain IMF components. The bandwidth and frequency center of each IMF component are updated alternately and iteratively. Finally, the frequency band of the signal is decomposed automatically to get the set K IMF components. Under the condition that the sum of the eigenmode functions is equal to the signal F, K eigenmode functions UK (k) are searched to minimize the sum of the estimated bandwidth.
The steps of solving the bandwidth of each mode are as follows:
(1) The analytic signal of each mode function UK (k) is obtained by Hilbert transform.

Where t is time, δ (T) is shock function, UK = {U1, U2 UK} is the decomposed IMF component, which is multiplied by E-J ω KT to adjust the center frequency of each component and modulate the spectrum of each component to the corresponding fundamental frequency band.

Where, ω k = {ω 1, ω 2 , ω K} is the center frequency of the corresponding IMF component UK (T).
(2) The bandwidth of each component is estimated by the H1 Gaussian smoothing index of the demodulated signal

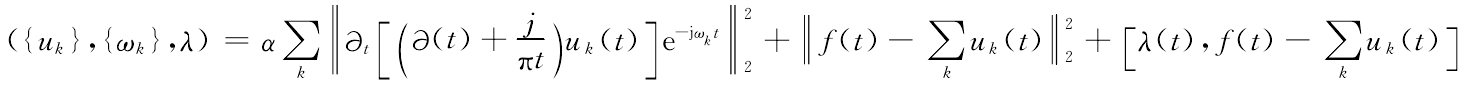
In order to transform the constrained variational problem into unconstrained variational problem, Lagrange multiplier λ (T) and quadratic penalty factor α are introduced. Among them, λ (T) can keep the strictness of the constraint conditions, and α can guarantee the reconstruction accuracy of the signal in the presence of Gaussian noise. The extended Lagrangian expression is.

In order to find the saddle point of the augmented Lagrange expression, we update UN + 1K, ω n + 1K and λ n + 1 with the method of alternating direction of multiplication. The value of UK can be expressed as.

(5) It is transformed into the form of non negative frequency interval integral, and the expression of quadratic optimization problem is obtained as follows

According to the above process, the update method of center frequency is obtained

